Statistisk vurdering av måleresultat

Ved seks eller flere målinger av et kjemisk stoff i arbeidsatmosfæren, må man gjøre statistiske beregninger for å avgjøre om eksponeringen er akseptabel eller ikke. 

Når man har utført 6 eller flere målinger skal det gjøres en statistisk vurdering av måleresultatene.

Da beregnes estimert øvre konsentrasjon (EØK). For at eksponeringen skal anses som akseptabel må EØK være mindre enn grenseverdien eller korttidsverdien som den sammenliknes mot.

Estimert øvre konsentrasjon (EØK) 

Øvre 70 prosent konfidensgrense til 95 prosenttilen.

Den tilsvarer den verdien som 95 prosent av eksponeringene er under med 70 prosent sikkerhet.

Det finnes to ulike fremgangsmåter for å beregne EØK. Hvilken metode som skal anvendes avhenger av om måleresultatene er «normalfordelte» eller «log-normalfordelte»:

  • Ved færre enn 10 målinger skal man anta at resultatene er log-normalfordelte.
  • Ved flere enn 10 målinger vil man vanligvis kunne anta at måleresultatene er log-normalfordelte.

Normalfordeling

Normalfordeling av måleresultatene er sjelden, men kan forekomme der hvor eksponeringen kjennetegnes av én av disse to situasjonene:

  1. Én eller svært få dominerende (stasjonære) kilder
  2. Tilfeldige variasjoner og feilkilder som overskygger de faktorene som bestemmer eksponeringen.

Eksempler på 1:

  • Målinger av karbondioksid (CO2) i et åpent kontorfellesskap med stabil bemanning.
  • Måling av døgngjennomsnitt av radon (Ra) eksponering.

Eksempler på 2:

  • Måling av korttidseksponering.
  • Måling av eksponering i nærheten av deteksjonsgrensen for metoden.

Gjør statistiske beregninger

For å være 100 prosent sikker på om resultatene er normalfordelte eller log-normalfordelte, må man gjøre statistiske beregninger. 

Jo færre målinger man har, desto mer faglig skjønn må brukes.

Normal fordeling eller log-normal fordeling?

Hvis måledataene er fordelt jevnt rundt et enkelt sentralt gjennomsnitt, det vil si at nesten like mange verdier er over gjennomsnittet som under, betegnes denne type fordeling ofte som «normal» eller «gaussisk».

Hvis dataene imidlertid ikke ligger symmetrisk rundt et enkelt sentralt gjennomsnitt, men heller mot én side, blir den ofte behandlet som en «log-normal» fordeling.

Observasjoner av mange sett av yrkeshygieniske data har vist at de vanligvis heller sterkt mot høyre, men ikke alltid. Forenklet sagt er hovedårsaken til dette at eksponeringer ikke kan være mindre enn null. Derfor blir den venstre ytterdelen komprimert, mens det teoretisk ikke er noen øvre grense for eksponeringsnivåer på en arbeidsplass.

Det er dermed rimelig å anta at den underliggende fordelingen for data for arbeidsplasseksponering ofte følger den log-normale fordelingen, med mindre det finnes tungtveiende grunner til å tro noe annet. En antakelse om at et sett måledata er log-normalt bør imidlertid sjekkes. 

Illustrasjonen viser kurven til en normal fordeling eller en  log-normal fordeling.

EØK ved log-normalfordelte måleresultater 

Estimert øvre konsentrasjon (EØK) ved log-normalfordelte måleresultater må regnes ut ved hjelp av statistikk.

Nedenfor er det gitt en beskrivelse av hvordan EØK regnes ut basert på målinger fra en log-normalfordelt eksponeringsprofil, hvor x = måleverdiene:

Regn ut: y = ln(x) for alle verdier av x

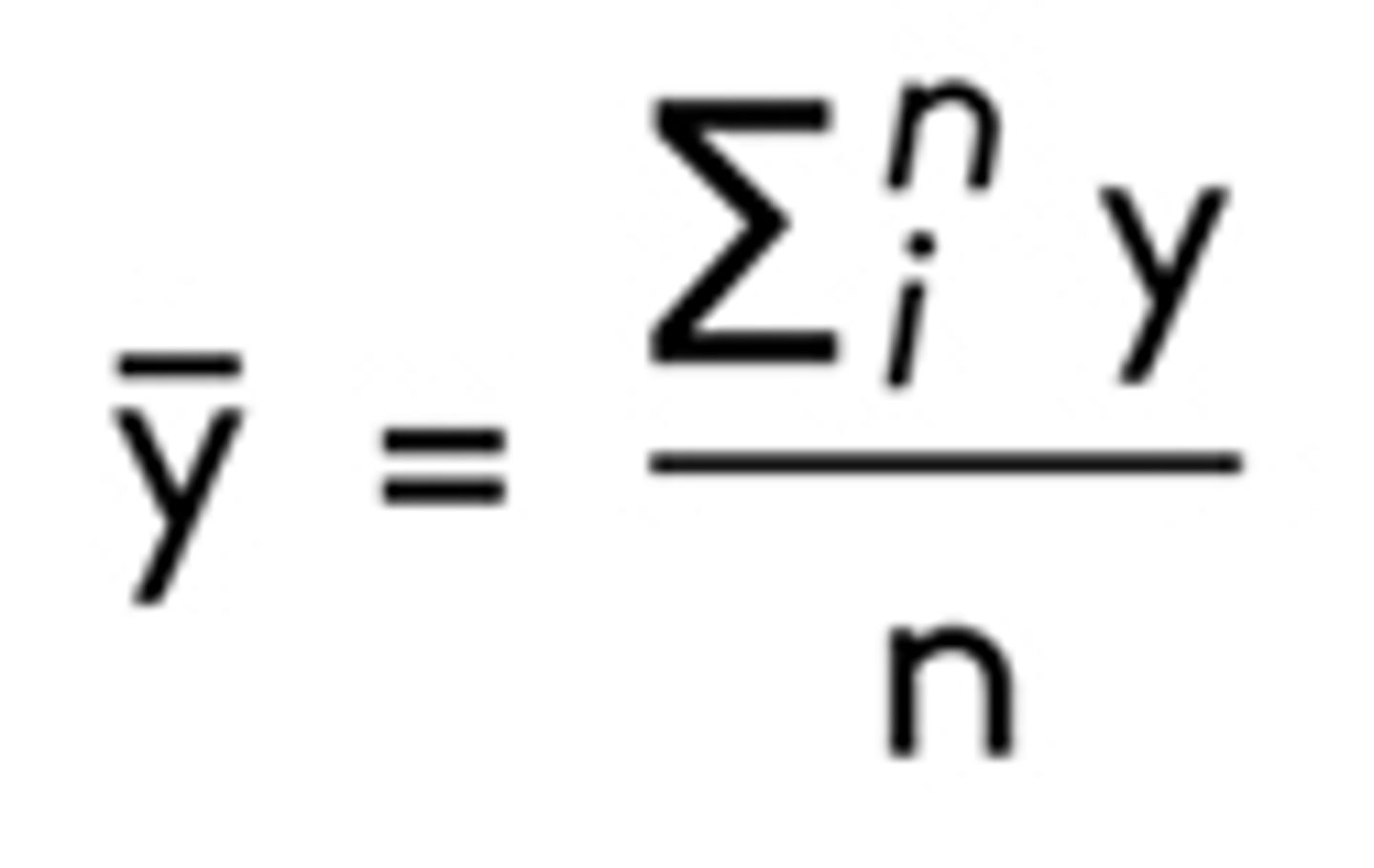
Regn ut: Gjennomsnitt av y(ӯ):

Illustrasjon som viser ut utregning av gjennomsnitt av y(ӯ):

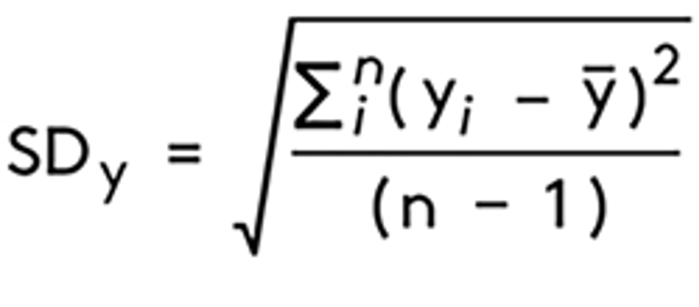
Regn ut: Standardavviket til y(Sy):

Illustrasjon som viser utrening av standardavviket til  y(Sy)-

Regn ut EØK:

EØK(0.95,0,70) = e(ȳ + U∙ SDy), hvor UT finnes fra oversikten over U-verdier og antall målinger nedenfor.

Sammenlign EØK med grenseverdien:

  • Hvis EØK er mindre enn grenseverdien, kan eksponeringen ansees å være akseptabel.
  • Hvis EØK er større eller lik grenseverdien er eksponeringen uakseptabel.

Bruk oversikten nedenfor for å finne U-verdien for antallet målinger som er gjennomført:

Tabell: UT-verdier for antall målinger
Antall målinger UT
6 2,187
7 2,120
8 2,072
9 2,035
10 2,005
11 1,981
12 1,961
13 1,944
14 1,929
15 1,917
16 1,905
17 1,895
18 1,886
19 1,878
20 1,870
21 1,863
22 1,857
23 1,851
24 1,846
25 1,841
26 1,836
27 1,832
28 1,828
29 1,824
30 1,820

Antall målinger, n: 6 målinger

Grenseverdi: 10 mg/m3

Måleresultater og utregning av estimert øvre konsentrasjon (EØK)
Måleresultater X Y
(x1,…,xn) mg/m3 Y= ln (x)
0,8 -0,22
0,9 -0,11
1,1 0,10
1,4 0,34
4,5 1,50
6 1,79

Gjennomsnitt, aritmetisk middel (AM)

AM= ȳ = ((y1+⋯+yn ))/n

ȳ = 0,57 

Standardavvik (SD)

SD= √[((y-ȳ )2+⋯+(y-ȳ )2)/(n-1)]

SD= 0,86

Estimert øvre konsentrasjon (EØK)

EØK(0.95,0,70) = e(ȳ + U∙ SDy)

EØK = 11,65 mg/m3

Konklusjon

EØK (11,65 mg/m3) > grenseverdi (10 mg/m3).

Dette betyr at eksponeringen er uakseptabel. Tiltak må iverksettes og det må deretter gjøres en ny vurdering. Alternativt kan det gjøres flere målinger. Avhengig av resultatene kan dette gjøre at EØK blir lavere.

EØK ved normalfordelte måleresultater

For kjemikalier hvor det kan antas at fordelingen av eksponeringen vil være normalfordelt følges følgende trinn (hvor x = måleverdiene):

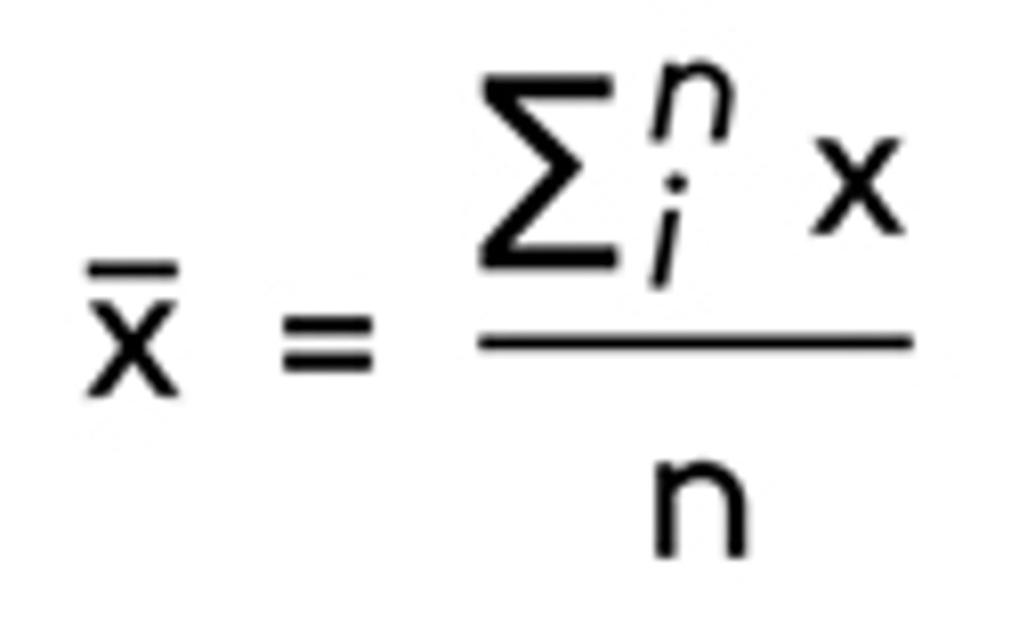
Regn ut: Gjennomsnitt av x(x̄):

Illustrasjon som viser utrekninga av gjennomsnitt av x(x̄)

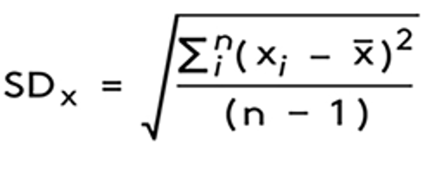
Regn ut standardavviket til: x(SDx): 

Illustrasjon som viser utregninga av standardavviket til: x(SDx):

Regn ut EØK: EØK(0.95,0,70) = x̄ + U∙ s, hvor UT finnes fra oversikten over U-verdier og antallmålinger over.

Sammenlign EØK med grenseverdi.

Hvis EØK er mindre enn grenseverdien, kan eksponeringen ansees å være under grenseverdien, hvis EØK er over eller lik grenseverdien vil ikke eksponering over grenseverdi kunne utelukkes.

Antall målinger, n: 6 målinger

Grenseverdi: 10 mg/m3

Måleresultater og utregning av estimert øvre konsentrasjon
Måleresultater X
(x1,…,Xn) mg/m3
0,8
0,9
1,1
1,4
4,5
6

Gjennomsnitt, aritmetisk middel (AM)

AM = x̄ =((x1+⋯+xn ))/n

x̄ = 2,45 

Standardavvik (SD)

SD= √[((x-x̄)2+⋯+(x-x̄)2)/(n-1)]

SD= 2,23

Estimert øvre konsentrasjon (EØK)

EØK(0.95,0,70)= x̄+UT∙SDy

EØK = 7,33 mg/m3

Konklusjon

EØK (7,33 mg/m3) < grenseverdi (10 mg/m3).

Dette betyr at eksponeringen er akseptabel. Kartleggingen kan avsluttes med en rapport. Ny kartlegging gjøres innen ett år eller ved en prosessendring.